Das richtige Benehmen am Pissoir, englisch auch „Urinal Etiquette“ oder „Urinal Protocol“ genannt, besagt ja, möglichst immer eine Lücke zu lassen, denn so wirklich gerne will kein Mann einen Nebenpisser haben.
Das geht bei manchen Anzahlen von Pissoirs natürlich leichter als bei anderen, wo es dann so endet.
Mathematisch analysiert wurde das nun hier:
Ich deutsche das jetzt mal kurz ein:
So klappt das noch so halbwegs:

Von 5 Urinalen sind 3 belegt, im dringenden Notfall können noch zwei dazwischen,w as aber als unfein gilt
Mit 7 klappt es weniger gut:

Wer auch nur als vierter kommt, weiß schon nicht mehr, wohin, da er immer jemand anderem zu nahe kommt – und zwar nur einem einzelnen anderen.
Mit 8 geht es wieder etwas besser, da paßt zumindest einer noch rein, ohne unangenehm aufzufallen:

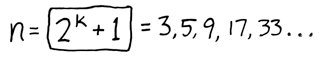
Berechnen läßt sich die optimale Anzahl von Urinalen ganz einfach:
![]()
Ok, ok, ich glaube, da hilft nun auch Eindeutschen nix mehr, aber Mathematiker trinken auch vor dem Lösen einer solchen Formel extra eine große Kanne Tee…dann kommen sie entweder rechtzeitig auf die Lösung oder es gibt eine warme Erlösung in der Hose 🙂
Es ergibt sich jedenfalls folgende „Effizienzkurve“:

Gut funktionieren die folgenden Anzahlen von Pißpötten:

Besonders schlecht dagegen:

Wobei das natürlich voraussetzt, daß nicht George Michael anwesend ist – der wird sich nicht an die Urinal-Etikette halten. Undd ann können die optimalen Anzahlen zu „schlimmen“ Anzahlen werden und umgekehrt.
Aber bevor ich all das durchrechne, gehe ich lieber in eine Zelle oder mach gleich in die Hose…








